【浮球式壓力計】 ● 安置 ● 連接 ● 操作 ● 潔凈度 ● 泄漏檢查 ● 修正 ● 維護 ● 隨機附件
浮球式壓力計安置
浮球式壓力計應安置在溫度盡可能接近于20℃,濕度為10~75%,周圍空氣流動不大,不含有腐蝕性介質和沒有任何震動源的環境中,安置浮球式壓力計的工作臺應穩固且便于操作。

浮球式壓力計連接
浮球式壓力計須用壓力計附帶的連接管與氣源和被測儀表連接,連接時須將接頭上的滾花螺母旋緊,以防接頭在工作中脫出或產生泄漏。浮球式壓力計對其壓力源有潔凈、干燥、無油的要求。如管道壓縮空氣無法達到凈化要求,建議使用瓶裝氮氣或將管道壓縮空氣通過氣體凈化裝置連接到浮球式壓力計。
浮球式壓力計操作
浮球式壓力計的操作時應先調整好氣源壓力,然后打開氣源閥和輸出閥并將砝碼架套在浮球上。待浮球浮起后,壓力計即輸出一個砝碼架上所標志的(0.001MPa或MPa或0.005MPa)壓力值。逐一按被測儀表的要求在砝碼架上增、減所需壓力值的砝碼,當浮球再次浮起后,壓力計即能輸出所需校驗用壓力。
浮球式壓力計操作須注意:
(1)增、減砝碼時一次不宜太多;
(2)不必旋轉浮球式壓力計的砝碼,過多的旋轉會影響儀器的精確度;
(3)檢測進程完結后應去除砝碼、關閉浮球式壓力計氣源閥,然后再取下被校儀表。不能在加壓狀態下撤除被測儀表,以免沖擊浮球;
(4)浮球式壓力計的輸出壓力值為所加砝碼及砝碼架上標明的壓力數值之和,輸出壓力值的誤差不超過該值的±0.05%。當輸出壓力值小于壓力計上限值的10%時,誤差不超過上限值10%的±0.05%。
關于浮式球壓力計的潔凈度
浮球式壓力計在使用前應檢查浮球和噴嘴的潔凈度,其潔凈度過低將會影響壓力計的輸出精度。浮球和噴嘴應經常用氟利昂或酒精進行清洗,并用潔凈的軟質絲綢擦干。清洗時,可用手將噴嘴從壓力計上輕輕拔下,拔下時切忌將浮球碰掉落地。安裝噴嘴時應注意噴嘴外筒的標志,必須正向安裝。裝卸時可輕輕轉動噴嘴,以克服O形密封圈的摩擦;浮球壓力計使用前可按下述辦法作一次潔凈度檢驗:打開氣源閥,關閉輸出閥,在浮球上放上一定數量的砝碼,當浮球浮起后,清潔的浮球和噴嘴則能靈活轉動。在輕輕轉動砝碼后,應能保持較長的持續旋轉時間。
浮球式壓力計的泄漏檢查
浮球式壓力計的輸出連接管路或被校儀表的泄漏則將影響校驗精度。檢漏可按下述方法進行:打開輸出閥,在壓力計的砝碼架上添加砝碼,使被校儀表指示的壓力達到規定值上。然后關閉輸出閥。如果被校儀表的指示一直能保持不動,則可以認為浮球壓力計和被測儀表之間無泄漏。
浮球式壓力計的重力加速度影響與修正
一般情況下,浮球壓力計出廠時其砝碼均按標準重力加速度(g=9.80665m/s2)制造。當浮球壓力計使用地點的重力加速度與標準重力加速度不同時,可以用下面的公式計算出浮球壓力計輸出壓力的實際值:

式中: p ── 使用地輸出壓力的實際值(MPa)
g ── 使用地點重力加速度(m/s2)
9.80665 ── 標準重力加速度(m/s2)
p標 ── 所加砝碼及砝碼架上標明的壓力數值之和(MPa)
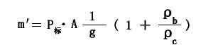
也可以通過修正浮球式壓力計砝碼的質量來達到使用點的輸出壓力與砝碼上標明的壓力值一致。其計算公式如下:

式中: m′── 修正后的專用砝碼質量(kg)
A ── 浮球的有效面積(m2)
ρb── 空氣密度(12×10-4g/cm3)
ρc ── 砝碼的材料(7.85g/cm3)
P標 ── 測量的壓力值(Pa)
浮球式壓力計的環境溫度影響與修正
浮球式壓力計可以在15~30℃的環境中正常工作。當使用環境溫度偏離標準溫度20±2℃時應對浮式球壓力計的輸出值進行環境溫度影響修正。最大相對誤差可按下式計算:

式中:△ ── 壓力計受環境溫度影響可能產生的最大相對誤差
0.05% ── 壓力計在20℃時的允許相對誤差
1.7×10-5 ── 溫度系數(1/℃)
t ── 使用地環境溫度(℃)
浮球式壓力計的其它注意事項
浮球式壓力計所用的氣源溫度應盡量接近使用地的環境溫度,否則會影響浮球的有效面積,致使壓力計的精度產生變化;被測的儀表與浮球式壓力計應放置在同一水平上。若其放置的高度相差較大,則應考慮連接管內氣體重力對被測儀表的影響;壓力計的浮球、噴嘴、砝碼和砝碼架必須按儀器同一出廠編號配套使用,不得互換。使用時不允許有汞或任何液體進入壓力計內。如浮球壓力計必須與帶液體的儀表連接使用時,應加裝專用隔離裝置;壓力計上的浮球、噴嘴、砝碼等零件均為不銹鋼材料制造,不得加涂任何防銹油脂。
浮球式壓力計的維護
浮球式壓力計必須定期進行檢定,其周期一般為一年。經長期使用的壓力計,除了應經常清洗浮球和噴嘴外,還必須對輸出管路定期進行清洗和吹洗。清洗液一般可用氟利昂或無水酒精。清洗輸出節流管時,應在取下噴嘴和浮球后,用螺絲刀將噴嘴座正中的輸出節流管擰下,先用導線進行疏通,再經清洗和吹干后裝好。吹洗輸出管路時應將壓力計接上氣源,并將輸出端放空,打開氣源閥和輸出閥,取下砝碼架,用手指向下壓迫浮球,使壓力計有足夠的輸出壓力,以吹洗輸出管路。然后再清洗浮球、噴嘴和噴嘴座。在噴嘴座上裝有一個O形密封圈,以保證噴嘴下端的密封,經長期使用影響密封時應及時更換,更換時應先將密封圈用不起毛的軟布擦凈,然后放入噴嘴的凹槽內。浮球式壓力計在出廠前已經過調整和有關部門檢定,用戶在使用中如出現故障切勿自行拆卸修理。浮球式壓力計由制造廠負責檢修。
浮球式壓力計的隨機附件
浮球式壓力計出廠時的附件:連接管組件 2 根; 備件:O形密封圈 1個。